Data Structures, Algorithms, & Applications in Java
Chapter 13, Exercise 27

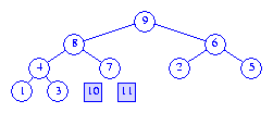
The initial complete binary tree is:
This tree is already heapified. The configuration after the max element is removed from the heap is:


The configuration after the next element is removed from the heap is:


The configuration after the next element is removed from the heap is:
The configuration after the next element is removed from the heap is:
The configuration after the next element is removed from the heap is:
The configuration after the next element is removed from the heap is:
The configuration after the next element is removed from the heap is:
The configuration after the next element is removed from the heap is:
The configuration after the next element is removed from the heap is:
The configuration after the next element is removed from the heap is:
This last configuration represents the sorted array.